1、引言
鋁合金由于其低密度、易加工的特性,現已被廣泛應用于汽車、航空航天等領域進行輕量化設計[1-2],但由于鋁合金的強度相對較低,其作為結構材料在一些極端服役環境下大量使用時易發生失效,如作為航空發動機附近的結構件,鋁合金在高溫下強度會下降,易帶來安全隱患,而鈦合金以其低密度和高強度和低共振系數3-4],被認為是進行局部強化的良好材料[5]。鈦/鋁的異種金屬增材制造可以實現局部強化和功能分區,在保留輕量化特征的同時,在局部承載區域用鈦合金增強結構件的強度、耐磨和耐腐蝕性能[6-8],如在飛機的機身、機翼等結構中,需要使用高強度、低密度的材料來制造承力部件,以減輕飛機的質量,提高其燃油經濟性和飛行性能。鈦合金的高強度和鋁合金的低密度相結合,通過激光增材制造技術制造出的異種金屬服役結構件,能夠在保證結構強度的同時,兼顧輕量化設計,結合鈦和鋁兩種合金的優點,實現輕量化與高強度的統一[9]。因此,對鈦/鋁異種金屬增材制造的研究受到廣泛關注,然而,由于鋁合金與鈦合金熱物性差異大,且易形成脆性Ti-Al金屬間化合物(IMCs),難以實現有效連接[10-11]。
由于鋁合金熔點遠低于鈦合金,為了減少界面反應,研究者們普遍采用在鈦基板上熔融沉積鋁來實現鋁/鈦異種金屬增材制造的方法。Fatoba等[12]研究了掃描速度對鈦基板上激光沉積鋁的沉積層性能的影響。隨著掃描速度的增加,沉積層的寬度、高度和熱影響區(HAZ)均減小,而沉積層的顯微硬度和腐蝕速率均增大。Hotz等[13]采用鋁合金AlMg3、AlSi10Mg和鈦合金Ti6Al4V使用激光定向能量沉積技術制備功能梯度材料,在過渡區發現了金屬間相和裂紋。Zhang等[14]提出利用新型交織結構實現Ti6Al4V/AA2024異種金屬增材,Ti6Al4V與AA2024之間的機械互鎖減輕了脆性IMCs對界面的不利影響,其抗剪強度為86.1MPa。
目前對于鈦基板上沉積鋁的研究較為廣泛,但為實現局部高強與整體輕質的統一,后續需對鈦基板進行機加工,受到成本及生產效率影響,實際工業生產中更期望實現鋁基板上沉積鈦合金,而目前以鋁為基板的鈦/鋁異種增材研究較少,且界面強度有限。Tian等[15]比較了沉積順序對構件力學性能的影響,使用冷金屬過渡焊接(CMT)方法于鋁基板上沉積TC4鈦合金,界面結合強度為30MPa;Nagamatsu等[16]利用CMT方法在鋁/鈦界面設計了十字形晶格的機械互鎖結構,最終界面極限抗拉強度為55.5MPa。
本工作基于調控界面熔合比對鈦/鋁異種增材進行激光加工工藝優化,提高鈦/鋁界面結合強度,分析了鈦/鋁異種結合界面微觀形貌和組織成分,并探究不同增材層數下界面組織及殘余應力的演變行為,對鈦/鋁異種激光增材工藝調控給出參考。
2、實驗
本研究采用6061鋁合金為基板,基板尺寸為100mm 50mmx10mm,使用前用1200#砂紙打磨去除表面氧化層,使用無水乙醇清洗后靜置干燥,焊絲為TC4,焊絲直徑為1.2mm,所用基板及焊絲化學成分如表1和表2所示。
表1 6061鋁合金的化學成分
Table 1 Chemical composition of 6061 aluminum alloy(wt%)
| Cu | Mn | Mg | Si | Zn | Cr | Ti | Fe | Al |
| 0.15-0.4 | 0.15 | 0.8-1.2 | 0.4-0.8 | 0.25 | 0.04-0.35 | 0.15 | ≤0.7 | Bal. |
表2 TC4焊絲化學成分
Table 2 Chemical composition of TC4 wire(wt%)
| Al | Si | Fe | V | C | O | N | Ti |
| 5.4 | 0.15 | 0.30 | 3.41 | 0.10 | 0.15 | 0.15 | Bal. |

所用的設備包括激光器、送絲機構、水冷機、KUKA機器人和保護氣艙,如圖 1所示,激光光斑直接作用于焊絲,激光傾斜5°,焊絲與基板夾角為45°。其中,所用激光器為武漢銳科RFL-C6000光纖激光器,水冷機為武漢漢立HL-8000水冷機,為防止增材過程中鈦合金發生氧化,使用自行設計的亞克力保護氣艙進行保護,實驗前通入高純氬氣 10 min,保證氣艙內氧含量較低。
由于鋁鈦熔點差異巨大,第 1層 TC4焊絲熔化沉積至鋁基板時必然引起鋁基板大量熔化,而鋁鈦間極易形成脆性金屬間化合物。為提高鋁鈦界面結合強度,從盡量減少鋁基板熔化、降低金屬間化合物產生的角度出發,本工作以激光功率、掃描速度、送絲速度和離焦量為變量,以焊縫熔合比 θ為響應值,進行一系列單因素試驗,下式為熔合比 θ的計算公式:

式中, Am為焊縫截面中母材金屬所占的面積, An為焊縫截面中填充金屬所占的面積。
對其進行多元非線性回歸分析,從而獲得實現最佳熔合比的工藝參數。表 3為工藝參數。
第 1層 Ti沉積結束后,后續增材過程轉變為 TC4鈦合金間的增材,因此采用固定工藝參數,層間冷卻時間固定為 5min,具體實驗參數如下表 4所示。
表3第1層工藝參數
Table 3 Process parameters of the first layer
| Number | Power/ kW | Scan speed/ m·min | Wire feed rate/ mm·s ?1 | Defocus distance/mm |
| 1 | 2.0 | 1.0 | 10 | +4 |
| 2 | 2.0 | 1.0 | 20 | +4 |
| 3 | 2.0 | 1.0 | 30 | +4 |
| 4 | 2.0 | 1.0 | 40 | +4 |
| 5 | 2.0 | 1.0 | 50 | +4 |
| 6 | 2.0 | 1.0 | 45 | +4 |
| 7 | 2.0 | 0.6 | 45 | +4 |
| 8 | 2.0 | 0.8 | 45 | +4 |
| 9 | 2.0 | 1.2 | 45 | +4 |
| 10 | 1.8 | 1.0 | 50 | +4 |
| 11 | 1.6 | 1.0 | 50 | +4 |
| 12 | 1.4 | 1.0 | 50 | +4 |
| 13 | 2.0 | 1.0 | 50 | +6 |
| 14 | 2.0 | 1.0 | 50 | +8 |
| 15 | 2.0 | 1.0 | 50 | +10 |
| 16 | 2.0 | 1.0 | 50 | +12 |
| 17 | 2.0 | 0.4 | 45 | +4 |
| 18 | 2.2 | 1.0 | 45 | +4 |
表4后續沉積層工藝參數
Table 4 Process parameters of subsequent deposited layers
| Power/kW | Scan speed/ m·min-1 | Wire feed rate/mm·s-1 | Defocus distance/mm |
| 2.0 | 0.6 | 20 | +4 |
對增材后的樣品橫截面冷鑲嵌后分別使用 400#、800 #、1500#、2000#水磨砂紙打磨,使用氧化鋁拋光劑進行機械拋光,使用Kroll試劑對界面進行腐蝕,使用體視顯微鏡拍攝界面形貌并使用Image Pro軟件對腐蝕后的界面形貌進行染色處理,根據灰度不同將Ti轉換為紅色,將熔池中的Al轉換為藍色,并統計紅藍面積以進行熔合比計算。使用Zeiss MERLIN Compact掃描電子顯微鏡觀察顯微組織。
對增材10層后的樣品進行拉伸試驗,拉伸試樣如圖2所示。

3、結果與分析
3.1工藝參數優化
對激光功率、送絲速度、焊接速度和離焦量 4種工藝參數進行單因素試驗,對焊道截面進行金相腐蝕并使用Image Pro軟件根據截面襯度不同對其進行染色處理,如圖 3所示,左上角數字表示對應的實驗編號,其中紅色為沉積鈦區域,藍色為焊道熔化區域,并獲取其面積,根據式(1)計算不同參數下的熔合比,所獲得熔合比數據如表5所示。

表5不同工藝參數下的熔合比
Table 5 Fusion ratios under different process parameters
| Number | Power/ kW | Scan speed/ m·min-1 | Wire feed rate/ mm-s-1 | Defocus distance/ mm | Fusion ratio |
| 1 | 2.0 | 1.0 | 10 | +4 | 0.359 |
| 2 | 2.0 | 1.0 | 20 | +4 | 0.384 |
| 3 | 2.0 | 1.0 | 30 | +4 | 0.471 |
| 4 | 2.0 | 1.0 | 40 | +4 | 0.526 |
| 5 | 2.0 | 1.0 | 50 | +4 | 0.571 |
| 6 | 2.0 | 1.0 | 45 | +4 | 0.686 |
| 7 | 2.0 | 0.6 | 45 | +4 | 0.579 |
| 8 | 2.0 | 0.8 | 45 | +4 | 0.48 |
| 9 | 2.0 | 1.2 | 45 | +4 | 0.529 |
| 10 | 1.8 | 1.0 | 50 | +4 | 0.582 |
| 11 | 1.6 | 1.0 | 50 | +4 | 0.677 |
| 12 | 1.4 | 1.0 | 50 | +4 | 0.818 |
| 13 | 2.0 | 1.0 | 50 | +6 | 0.680 |
| 14 | 2.0 | 1.0 | 50 | +8 | 0.697 |
| 15 | 2.0 | 1.0 | 50 | +10 | 0.742 |
| 16 | 2.0 | 1.0 | 50 | +12 | 0.877 |
| 17 | 2.0 | 0.4 | 45 | +4 | 0.792 |
| 18 | 2.2 | 1.0 | 45 | +4 | 0.706 |
在多元非線性回歸中以激光功率、焊接速度、送絲速度及離焦量為自變量,熔合比為因變量,變量之間的關系為:

按照四元非線性回歸方程設置,對實驗數據進行歸納和整理,得出熔合比與工藝參數的四元二次多項式:

其中 β0為常數項, β1 、β2 、β3 、β4 為線性系數, β5 、β6 、β7 、β8 為二次系數, β9 、β10 、β11 、β12 、β13 、β14 為交叉系數。
對公式進行逐步回歸分析,得到各項參數估算值及95%置信區間如表 6所示。
表6各項參數估算值
Table 6 Estimated values of various parameters
| Parameter | Estimated value | Lower limit | Upper limit |
| β0 | -0.2417 | -2.123 | 1.640 |
| β1 | 0.0596 | -1.112 | 1.231 |
| β2 | -0.1352 | -0.614 | 0.343 |
| β3 | 0.0940 | -0.591 | 0.779 |
| β4 | -0.9739 | -8.554 | 6.606 |
| β5 | 0.8970 | -0.948 | 2.742 |
| β6 | 0.7110 | -0.295 | 1.717 |
| β7 | 2.734x10-5 | 0 | 0 |
| βs | 0.0011 | -0.009 | 0.011 |
| β9 | 0.2725 | -3.718 | 4.263 |
| β10 | -0.0935 | -0.452 | 0.265 |
| β11 | 0.224 | -4.351 | 4.799 |
| β12 | 0.0099 | -0.007 | 0.027 |
| β13 | -0.5479 | -2.516 | 1.420 |
| β14 | 0.021 | 0.003 | 0.041 |
在此回歸方程中, R2 = 0.951, F檢驗統計量為 6.951, P值為 0.00564(<0.05),模型整體顯著。
根據此回歸方程確定可實現最佳熔合比的工藝參數為功率 2.1 kW,焊接速度 1m/min,送絲速度 45mm/s,離焦量+10 mm,后續增材過程以此參數作為第 1層工藝參數,第 2層及后續多道參數使用統一的鈦合金增材參數。
3.2增材界面組織演變
圖 4為不同鈦合金增材層數下鈦鋁界面組織形貌,當增材層數為 1層時,鈦熔滴直接接觸鋁基板使基板大量熔化,形成 V形截面,鋁鈦界面產生大量金屬間化合物,化合物形貌主要分為沿界面彌散、均勻分布的點狀化合物及粗大由鈦側向鋁側大量生長樹枝狀化合物,如圖 4a、4a 1 所示。由表 7中 EDS分析結果可知,沿界面生長的點狀化合物均為 Al 3 Ti化合物。

與單層沉積界面相比,隨著增材層數的增加, 3層增材界面處點狀化合物長大并增多,單層沉積界面中的粗大樹枝狀化合物破碎為針狀,同時在界面處觀察到微裂紋。
當層數增加至5層時,針狀化合物進一步減少,此時界面處匯集大量彌散的點狀化合物,成分全部為Al3Ti。同時隨著增材層數增加,由于鋁鈦熱膨脹系數差異帶來的熱應力及增材層厚度增加帶來的結構應力不斷積累,界面處微裂紋擴展,將顯著降低界面強度,如圖4c所示,5層時裂紋甚至從沉積層左側擴展至橫貫界面一半,同時隨著增材層數增加裂紋數量明顯增多并匯集,如圖4b、4c裂紋數由1條增加至4條,開裂風險增大。
當增材層數增加至10層時,針狀化合物幾乎全部消失,彌散的點狀化合物匯集為完整一層。這是由于Al原子擴散系數約為Ti原子的20倍,在增材的反復加熱作用下,Al3Ti中的Al原子不斷向Ti側擴散,造成針狀Al3Ti化合物消失,Al原子在界面處不斷累積,最終形成完整化合物層。為進一步確定界面產物,對增材試樣截面進行微區XRD分析,由圖5可知界面處Al3Ti等Al-Ti化合物均有產生。

此外,由SEM圖像及EDS線掃結果(圖6)可知,界面處存在富Al層/富Ti層交替出現現象,這是由于第1層增材時熱輸入較小,Ti絲材在激光能量作用下未能完全熔化,同時送絲速度較大,絲材溫度較高但未完全熔化時與鋁基體接觸,熱量迅速傳遞到鋁基體導致鋁基體熔化,熔池被絲材劇烈攪動,于是形成富Al/富Ti層疊交錯現象,這種層疊結構對界面力學性能也有一定改善。

表 7圖 4中各點EDS結果
Table 7 EDS results of marked points in Fig.4(at%)
| Position | Mg | Al | Si | Ti | V | Possible phase |
| 1 | 3.47 | 84.00 | 0.31 | 11.73 | 0.49 | Al + Al 3 Ti |
| 2 | 1.72 | 69.75 | 0.71 | 26.97 | 0.86 | Al 3 Ti |
| 3 | 1.20 | 69.87 | 0.71 | 27.39 | 0.82 | Al 3 Ti |
| 4 | 1.49 | 71.15 | 0.44 | 26.14 | 0.78 | Al 3 Ti |
| 5 | 1.29 | 82.84 | 0.10 | 15.77 | 0 | Al + Al 3 Ti |
| 6 | 1.11 | 68.37 | 0.46 | 29.62 | 0.44 | Al 3 Ti |
3.3力學性能及斷口形貌
在10層增材樣品界面處切取拉伸試樣,獲得平均抗拉強度為60.67MPa,如圖7所示,相比于先前的研究有所提升,原因為在第1層優選的工藝參數下熱輸入較小且熱量均勻分布于Ti絲材,Ti溫度分布較為均勻,且送絲速度較快,絲材在激光能量作用下存在局部未熔化并劇烈攪動熔池,形成如圖6所述的富Al/富Ti層交錯的界面結構,拉伸時這種交替結構相互承受載荷,對接頭力學性能具有改善作用。

對拉伸斷口進行SEM/EDS分析,由圖8可見,Ti側斷口具有大量明顯的河流花樣及解理臺階特征,斷裂模式以脆性斷裂為主,由EDS分析結果表8可知,Ti側斷口處化合物成分以AlTi及AlTi3為主,化合物成分及斷裂形式符合由脆性金屬間化合物引起的脆性斷裂模式。通過對如圖8拉伸斷口鋁側形貌進行觀察,可發現鋁側斷口同樣存在大量河流花樣及解理臺階特征,如圖 8綠色框內所示,但在局部地區出現韌窩特征,如圖8黃色框內所示。為進一步說明斷裂特征與化合物成分的關系,分別對黃色框內和綠色框內相應點進行EDS分析,由表 8可知,綠色框內脆性斷裂特征處各點 Al、Ti元素大致成 1:1比例,可認為全部為 AlTi化合物相,符合在化合物作用下引起脆性斷裂規律。黃色框內韌窩區域有較高含量的鋁存在,可認為鋁母材在此位置發生局部斷裂,即接頭韌性有所改善,但韌窩區域所占面積較少,斷裂模式仍以脆性斷裂為主。

為研究斷裂路徑,將拉伸斷口拼接后使用 SEM及EDS進行分析,由圖 9斷口界面偏鋁側形貌及表 9中 EDS結果可見,斷口鋁側存在大量成片化合物,同時斷裂界面不規則,化合物成分主要為 AlTi,伴隨少量 Al 3 Ti。
根據拼接后斷口鈦側形貌及相應 EDS結果,如圖 9及表 9所示,鈦側界面存在殘留的鋁基體,這是由于上文提到優化的工藝參數熱輸入較小同時送絲速度較快,熔池發生劇烈攪動,形成富Al/富Ti層交錯結構,部分鋁嵌入鈦中形成機械互鎖而與鈦基體通過化合物層相連,故拉伸時斷裂于鋁與化合物之間,部分鋁由于機械互鎖殘留在鈦側。在鋁鈦連接時,這種機械互鎖僅占一小部分,其余大部仍以鋁鈦反應產生化合物相連,根據 EDS結果,斷裂兩側為 AlTi 3 與 AlTi 3 或 Ti,因此可認為斷裂大部分發生在 AlTi與 AlTi 3 或 Ti之間,這是由于 AlTi 3 AlTi 3 或 Ti存在較大晶格畸變,并結合增材反復熱循環帶來的較大殘余應力,界面處發生開裂。

表8圖8中拉伸斷口兩側相應的EDS結果
Table 8 EDS results of Ti and Al sides of the tensile fracture in Fig.8(at%)
| Position | Mg | Al | Si | Ti | V | Possible phase |
| 1 | 0.03 | 28.86 | 0 | 70.31 | 0.80 | AlTi |
| 2 | 0.80 | 31.49 | 0.11 | 67.16 | 0.45 | AlTi 3 |
| 3 | 3.45 | 88.24 | 1.52 | 4.45 | 2.34 | Al |
| 4 | 2.73 | 49.24 | 0.31 | 44.83 | 2.89 | AlTi |
表9斷口拼接圖像中對應各點的EDS結果
Table 9 EDS results corresponding to each point in the spliced fracture images of Fig.9(at%)
| Position | Mg | Al | Si | Ti | V | Possible phase |
| 1 | 5.90 | 91.76 | 0.07 | 2.08 | 0.19 | Al+Al3Ti |
| 2 | 2.03 | 66.05 | 0.15 | 31.28 | 0.49 | Al+AlTi |
| 3 | 0 | 6.05 | 0.20 | 93.20 | 0.54 | Ti+AlTi3 |
| 4 | 4.32 | 95.21 | 0.06 | 0.29 | 0.12 | Al |
| 5 | 0.90 | 42.53 | 0.04 | 56.01 | 0.53 | AlTi |
| 6 | 1.71 | 62.51 | 0.06 | 35.15 | 0.57 | Al+AlTi |
3.4增材界面殘余應力演變有限元模擬
使用 Abaqus有限元仿真軟件對鋁/鈦異種增材過程進行熱力順序耦合有限元模擬,采用生死單元技術模擬增材過程中材料的沉積行為。由于增材過程包含復雜的熱物理過程,因此在對計算結果影響不大的前提下進行如下假設:(1)鋁基板及沉積層材料均是各向同性;(2)忽略材料汽化對模擬的影響;(3)材料激光吸收率為常數。
3.4.1控制方程
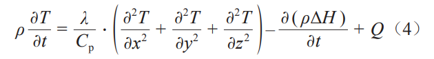
本研究主要分析了增材過程中構件的殘余應力演化規律,因此采用熱-力順序耦合模型,模型的三維非線性瞬態熱控制方程為 [17]:

式中, C p 、λ和 ρ分別為材料的比熱容、導熱系數和密度; T為溫度場分布函數;t為傳熱時間; ΔH為材料熔化潛熱,Q為單位體積內熱源的熱流密度。
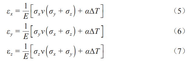
增材過程中鋁、鈦應力應變關系均遵循熱彈塑性理論,其微分方程可表示為 [18]:

式中, ε x 、ε y 、ε z 分別為 x、 y、 z方向的法向應變, σ x 、σ y 、σ z 分別為 x、 y、 z方向的法向應力。 E為彈性模量, v為泊松比, a為熱膨脹系數。
由于沉積實驗的基板水平放置在工作臺上,因此在進行應力場分析之前,需要對基板底部施加固定約束 [19]。
模型采用米塞斯屈服準則,其表達式為 [20]:

其中, σ ˉ為 Von Mises等效應力, σ 1 、σ 2 、σ 3 分別為 3個方向的正應力。
3.4.2模型驗證
仿真所用的工藝參數基于上述工藝優化過程,參數如表10所示。為獲得穩定的溫度場截取移動熱源達到第1沉積層中間位置時刻(t=2.4s)時的模型界面溫度分布云圖,將模擬所得熔池溫度分布與試驗所得熔池輪廓作對比,同時使用熱電偶采集增材過程鋁基板側面中間位置的熱歷程并與仿真結果作對比,采集位置及鋁/鈦異種增材模擬的物理模型如圖 10所示,對比結果如圖 11所示,仿真結果與實驗結果吻合較好,驗證了溫度場模型的準確性。
表10仿真工藝參數
Table 10 Simulation process parameters
| Layer | Power/ kW | Scan speed/m.min ?1 | Wire feed rate/mm.s?1 | Defocus distance/mm |
| 1 | 2.1 | 1.0 | 45 | +10 |
| 2-10 | 2.0 | 0.6 | 20 | +4 |

目前,測量殘余應力的方法主要有 X射線衍射法、盲孔法、顯微硬度壓痕法等 [21]。在這些測試方法中,測定成形零件表面殘余應力的顯微硬度壓痕法是最簡單、最方便的方法,對零件幾乎沒有破壞性。在本研究中,采用該方法測量 10層增材后構件橫截面中由鈦向鋁直線上各點的殘余應力,并與仿真結果進行對比以驗證應力場仿真的準確性。
為簡化計算過程,假定材料的應力應變關系為 [22]:

材料殘余應力及殘余應變計算公式為 [23]:

式中 ε res 為殘余應變, σ res 為殘余應力, H m 為顯微硬度, K為材料的強度系數, n為材料的應變硬化指數, c 2為被測材料表面實際投影接觸面積 A與理論投影接觸面積 A norm 之比。實際投影接觸面積 A和理論投影接觸面積 A norm 的計算方法如圖 12所示 [23]。A norm 的計算公式如下:

式中 L1與 L2為維氏硬度壓痕菱形的兩對角線長度。
對鈦鋁異種增材接頭進行打磨拋光后,使用硬度計沿厚度方向對表面進行硬度測量,共 24個測量點,并基于以上計算方法計算各點的殘余應力值,將模擬計算所得 Von Mises等效殘余應力與實驗計算所得殘余應力作對比,硬度測量點位置示意圖及對比結果如圖 13所示,結果表明,殘余應力從下向上呈現先增后減趨勢,在鋁鈦界面處達到峰值,界面兩側殘余應力較小,模擬值與實測值偏差不顯著,因此模擬可準確預測接頭的殘余應力分布特征。



3.4.3界面殘余應力演變特征
在激光增材制造過程中,由于激光能量集中且鋁鈦有較大的熱膨脹系數差異,加熱過程中將存在較大的內應力,隨著增材過程結束,整體構建溫度下降并逐漸冷卻至室溫,在冷卻過程中材料內應力將重新分布。
如圖 14所示為增材不同層數鈦合金時的鋁鈦異種接頭沿焊道方向截面的殘余應力分布,當僅增材1層時,由于沉積鈦與鋁基板直接接觸,在熱源作用下沉積鈦整體具有較高的殘余應力,同時焊道下方部分鋁基體受到熱傳遞作用也具有較高的殘余應力。隨著增材層數增加,后續增材鈦合金熱輸入較大,在加熱時鈦層溫度超過熔點形成液態熔池,其內應力幾乎為零,而冷卻至室溫時,其殘余應力向鈦鋁界面處集中;當增材層數較少時,鋁基板受激光能量加熱作用較大,界面以下鋁基板處殘余應力范圍逐漸擴大。隨著增材層數繼續增加,特別是層數達到4層及以上時,由于鈦導熱系數低,鋁基板受到激光加熱作用逐漸減小,基板處殘余應力范圍逐漸減小并向鈦鋁界面處集中,而沉積鈦層中出現層狀高殘余應力區域,但整體殘余應力仍較低,高殘余應力仍集中于鈦鋁界面附近。此外由于鈦鋁異種增材構件在增材起始及結束端存在集合突變,在構件界面前后兩端處往往存在應力集中,而焊道前端應力集中情況更為嚴重,如圖14中的10層所示,焊道前端Von Mises殘余應力可達近300MPa,因此在實際增材過程中往往由焊道前端發生翹曲及開裂。

另外提取焊道前端界面處殘余應力隨增材層數的變化曲線,如圖15所示,增材3層及以下時隨層數增加鋁基板受到激光熱影響較大,故殘余應力隨層數增加逐漸增大,3~6層時由于沉積鈦層有一定厚度,鈦導熱性能較差,鋁基板受到激光熱影響減弱,基板殘余應力減小,因此界面處殘余應力隨之減小,6層及以上時由于鈦層逐漸加厚,結構應力逐漸增大,殘余應力向界面集中,且界面處焊道前端幾何突變帶來應力集中加劇,因此殘余應力急劇增大,造成接頭前端極易開裂。

4、結論
1)基于調控界面熔合比進行激光加工工藝參數優化,并通過系列單因素試驗和非線性回歸分析獲得最佳工藝參數,在此基礎上進行了鈦/鋁異種金屬激光增材,獲得接頭力學性能提升,界面平均抗拉強度達到60.67 MPa。
2)分析了增材不同層數下的界面組織演變規律,隨增材層數增加,脆性針狀化合物破碎為點狀并逐漸匯集為完整一層,同時在優選的參數下界面存在富鋁/富鈦交錯結構,有助于提高界面力學性能。
3)建立了增材過程的熱力順序耦合有限元模型,分析了界面殘余應力演變特征,隨增材層數增加殘余應力向界面附近集中,且焊道前端應力集中最顯著,不同層數下焊道前端殘余應力呈現先增后減再急劇增大的趨勢。
參考文獻
[1] Qi Z W, Qi B J, Cong B Q et al. Journal of Manufacturing Processes[J],2019,40:27
[2] Li Bobo(李渤渤),Fan Jiangkun(樊江昆),Xu Yali(許亞利)et al.Rare Metal Materials and Engineering(稀有金屬材料與工程)[J],2025,54(1):218
[3] Chu Q L, Zhang M, Li J H et al. Journal of Materials Processing Technology[J],2017,240:293
[4] Panigrahi S K, Jayaganthan R. Materials& Design[J], 2011, 32(6):3150
[5] Qiang Meng, Yang Xirong, Liu Xiaoyan et al. Rare Metal Materials and Engineering[J],2023,52(5):1673
[6] Xu N Q, Shen J Q, Hu S S et al. Materials Letters[J], 2021, 302:130397
[7] Wei S Z, Li Y J, Wang J et al. The International Journal of Advanced Manufacturing Technology[J],2014,70(5-8):1137
[8]Li Yajie(李亞杰),MaChengrui(馬承睿),Liu Cuirong(劉翠榮)et al.Rare Metal Materials and Engineering(稀有金屬材料與工程)[J],2023,52(9):3264
[9] Wang Junhao(王俊豪),Zhao Jibin(趙吉賓),He Chen(賀晨)et al.Rare Metal Materials and Engineering(稀有金屬材料與工程)[J],2024,53(12):3485
[10] Bunaziv I, Akselsen O M, Ren X B et al. Metals[J], 2021,11(11):1680
[11] Baqer Y M, Ramesh S, Yusof F et al. The International Journal of Advanced Manufacturing Technology[J], 2018, 95(9-12): 4353
[12] Fatoba O S, Naidoo L C, Akinlabi S A et al. IOP Conference Series: Materials Science and Engineering[C]. Kunshan: IOP Publishing,2021:012123
[13] Hotz H, Zimmermann M, Greco S et al. Journal of Manufacturing Processes[J],2021,68:1524
[14] Zhang D Q, Du D, Pu Z et al. Materials Letters[J], 2024, 363:136275
[15] Tian Y B, Shen J Q, Hu S S et al. Science and Technology of Welding and Joining[J], 2020, 25(1): 73
[16] Nagamatsu Hideaki, Abe Takeyuki, Nakajima Kentaro et al.Additive Manufacturing[J],2023,78:103895
[17] Zhang Z D, Huang Y Z, Kasinathan A R et al. Optics& Laser Technology[J],2019,109:297
[18] Lu Y, Sun G F, Xiao X F et al. Scientific Reports[J], 2019, 9:7630
[19] Zhao Z Y, Wang J B, Du W B et al. Optics& Laser Technology[J],2023,167:109814
[20] Li M Y, Han Y C, Zhou M Y et al. Journal of Manufacturing Processes[J],2020,56:271
[21] Zhang K, Geng J T, Liu W J et al. Journal of Materials Research and Technology[J],2023,26:1962
[22] Liu F C, Lin X, Yang G L et al. Optics& Laser Technology[J],2011,43(1):208
[23] Zhang K, Ye T Q, Geng J T et al. International Journal of Heat and Mass Transfer[J],2025,236:126330
(注,原文標題:鈦/鋁異種金屬激光增材工藝優化及界面演變特征)
無相關信息